
Sweeteners arrived to the market as the silver-bullet alternative to the rising health risks of sugar. Companies proactively innovated and reformulated their products to offer a diet-friendly option for the health-conscious, and low and no-calorie sweeteners (LNCSs) became a cornerstone in healthy diets, weight and diabetes management, and oral care.1,2 Yet as the spotlight continues to sharpen on the adverse health effects of ultra-processed foods, the long-term health impacts of LNCSs are also being questioned.3
The adverse effects of LNCSs have been controversial. Some studies note associations with type 2 diabetes, cancer, cardiovascular disease and depression.3 LNCSs have also been linked with a higher risk of dementia, decreased memory performance and executive function. These studies did not explore what intake levels had harmful cognitive effects, which prompted Gonçalves et al. (2025) to investigate further.3
Using data from The Brazilian Longitudinal Study of Adult Health (ELSA-Brazil), the group conducted an observational study spanning eight years, making it the largest and longest prospective study to date on LNCS consumption and cognitive decline. The study looked at 12,772 dementia-free civil servants aged between 35-74, excluding those with incomplete data, and those who had unusually high caloric intake, Parkinson’s disease, passed away or were lost to follow-up. At baseline, participants completed a validated Food Frequency Questionnaire to calculate LNCS consumption. They were also assessed using six cognitive tests in three waves across the study period.3 The results presented were analysed using linear mixed-effects models adjusting for age, sex, race/ethnicity, education, income, physical activity, body mass index, hypertension, diabetes, cardiovascular disease, depressive symptoms, alcohol consumption, smoking, total calories, and MIND diet.3
From the questionnaire, participants were grouped into tertiles that corresponded to normal (0.02–37.2 mg; mean 19.9 mg, SD 9.7 mg), intermediate (37.3–102.3 mg; mean 65.6 mg, SD 16.7 mg), and high (102.4–856.5 mg; mean 192.0 mg, SD 91.2 mg) combined LNCS consumption. They identified seven LNCSs (aspartame, saccharin, acesulfame K, erythritol, xylitol, sorbitol, and tagatose); sorbitol was the most consumed LNCS in all three groups. Those with the highest consumption were more likely to be older, women, White, more educated, with higher incomes and more physically active, but also exhibited a higher frequency of hypertension and uncontrolled diabetes.3
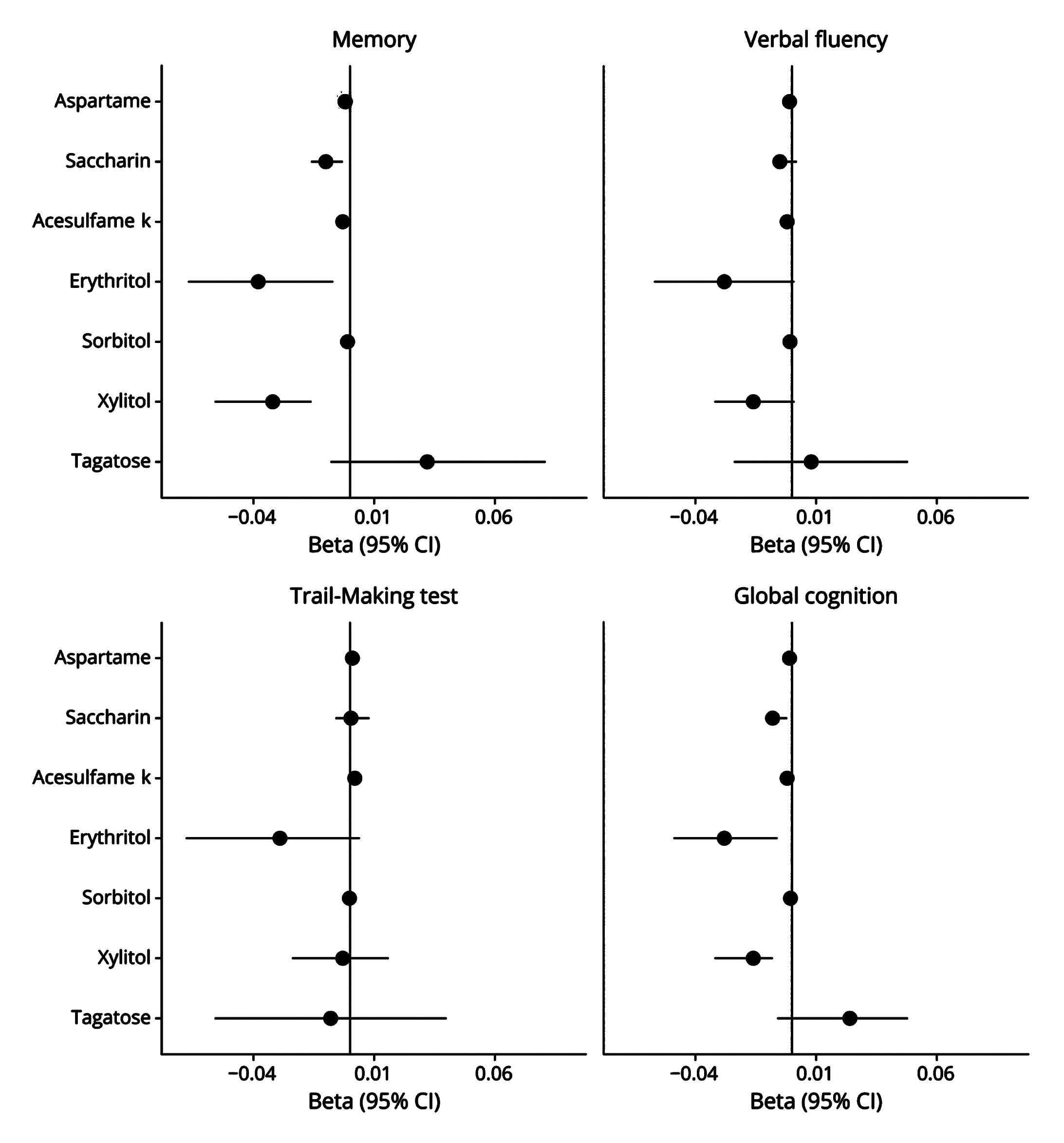
Participants with moderate and high consumption had the greatest global cognition and verbal fluency declines (both p<0.001 compared to the first tertile) (Figure 1). Assuming that the cognitive decline trajectory of participants in the first tertile represented normal cognitive aging, this corresponded to 1.3 and 1.6 years of cognitive ageing, respectively. A different categorisation based on intake frequency found that only daily LNCS intake was associated with accelerated decline in memory (p<0.05), verbal fluency (p<0.001) and global cognition (p = 0.001). However, more conservative calculations did not show the same relationships between LNCS consumption tertiles and cognitive decline.3 Tagotose, the only natural option studied, was the only sweetener not linked with cognitive decline. The rest varied in association with memory, verbal fluency, and global cognitive decline, but not the Trail-Making test. (Figure 2).3

Figure 1: Association of combined LCNS consumption tertiles with cognitive function trajectories from baseline to median 8 years of follow-up in the whole sample.3

Figure 2: Association of individual LCNS consumption with cognitive function trajectories from baseline to median 8 years of follow-up in the whole sample.3
When the results were stratified, age was revealed to be a modifier of the relationship (p<0.001), as faster verbal fluency and global cognition declines with high LNCS consumption was only found in participants under 60 years old. High sorbitol consumption was associated with poorer memory, whereas high tagatose consumption seemed to show slower rates of memory and global cognition decline. Again, this relationship was only in participants below aged below 60, further supporting natural sweeteners as the preferred choice.3
A diabetes diagnosis also modified the relationship (p = 0.016), but the picture was less straightforward. Both diabetics and non-diabetics in the two highest tertiles were associated with global cognition decline, but only diabetics had declines in memory, whereas non-diabetics had declining verbal fluency. The effects of a high consumption of individual sweeteners varied in diabetics and non-diabetics (Figure 3), but all seven sweeteners negatively affected cognition in participants with diabetics. Nevertheless, the magnitude of the association of combined LNCS intake with cognitive decline was larger in participants with diabetes than in participants without diabetes, potentially given their already inflammatory state. Stratification by obesity and diet were also tested, but these factors did not modify the relationship.3

Figure 3: Association of combined and individual LCNS consumption at the study baseline with global cognition decline over a median of 8 years of follow-up in participants without (n = 11,363) and with (n = 1,409) diabetes.3
Various animal and clinical studies revealed that sweeteners release neurotoxic metabolites and may induce microbiota changes and glycemic responses, affecting blood-brain barrier integrity and synaptic functions.3 Sweeteners may also affect dopamine and addiction responses, satisfaction and food choices. However, such responses vary greatly from person to person, and a clearer understanding awaits as research on the gut-brain axis matures.4-6
LNCSs have been approved by regulatory agencies globally for consumption within Acceptable Daily Intake levels and are at times suggested as a strategy for weight and diabetes management, such as by Diabetes UK.1,7 Moreover, previous concerns associating LNCS with possible carcinogenicity and metabolic effects have not sparked regulatory reform.8 But the stance of the Hong Kong Centre for Food Safety takes a more conservative approach in line with recommendations from the WHO, which advocates to reduce overall sweetness in diets and consider other ways of weight control other than sweeteners.9
Sweeteners may affect cognitive decline, but the results of the reported study are challenged by the correlations and confounding inherent to observational studies, especially in nutrition, the potential inaccuracies of self-reported questionnaires, and the natural possibility of social desirability bias. Moreover, dietary habits may have changed since participants were first given the Food Frequency Questionnaire at the beginning of the eight-year period, and sweetener consumption was only measured from tabletop sweeteners and soft drinks, which excludes many other sources of food where LNCSs are found. Sucralose was also not included given its later entry to the market, but may have been part of the participants' diet over the eight years.3
Regardless, Gonçalves et al. encourage deeper investigation on the relationship between LNCSs and cognitive decline, ignite a healthy dose of skepticism and further caution over sweetener consumption. It also places further scrutiny on the factors causing the pressing and growing prevalence of dementia, currently around 7% globally; LNCS consumption has risen along with the consumption of ultra-processed foods, which have also been linked with an increased risk of dementia.3, 10
Dietary choices have critical impacts on long-term health. The study reinforces the importance of preventive interventions against cognitive decline in middle-aged adults, given that memory, attention, and processing speed peak during early adulthood and decline gradually starting in the 30s; dementia biomarkers also become evident 20–30 years before onset of clinical disease.3 However, other longitudinal studies have also shown conflicting effects, marking this an ongoing area of research.3 Future studies may use neuroimaging to assess structural brain changes and confirm plausible mechanisms behind this relationship.11
In the study, generally all investigated LNCSs other than tagatose were associated with faster cognitive decline, and the authors suggest choosing natural sweeteners like honey, especially in patients with diabetes.3 The almost decade long follow-up does inform the future of public health efforts to maintain healthy societies, but ultimately, health is not a siloed concept, and messaging to the public must be done with care.
Abbreviations:
MIND, Mediterranean- (Dietary Approach to Systolic Hypertension) Intervention for Neurodegenerative Delay.
References
1. Sievenpiper JL et al. Nutrients 2025:17(5):793. 2. International Sweeteners Association. Available at: https://www.sweeteners.org/ 3. Gonçalves et al. Neurology 2025;105(7):e214023. 4. Suez J et al. Cell 2022;185(18):3307-3328.e19. 5. McCutcheon JE et al. Physiol Behav 2015;152:408-415. 6. Lenoir M et al. PloS One 2007;2(8):e698. 7. Diabetes UK. Position Statement on the Use of Low or No Calorie Sweeteners. 2018. 8. Maluly, HDB et al. Food Sci Technol 2020;40:1–10. 9. HK Gov. Centre for Food Safety. Sweeteners: Myths and Facts. 2024. 10. Cao Q et al. J Alzheimer’s Dis 2020;73(3):1157–66. 11. Elliott ML et al. Mol Psychiatry 2021;26:3829–3838.





